节点分析 | Nodal Analysis
Essential node
连接三个或更多电路元件的节点被称为 essential node。
Nodes with three or more connections are called essential nodes.

Nodal Analysis 使用
选择具有较多连接的节点为参考点(接地点)
Choose a node with many connections as reference node

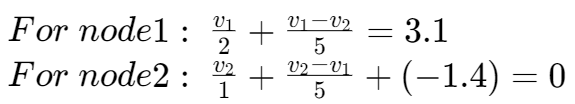
列式技巧:将当前计算的节点假设为较高电位,将流出的电流放在等式左侧,流入电流放在等式右侧。

对于存在电压源的电路
对于存在电压源的电路,由于经过电压源的电流无法计算,则将电压源两侧的节点视为一个节点,此节点为超节点(supernode)。
例题


对于超节点作为参考点的情况:

因为 node4 为参考点,node2 与 node4 之间有 10V 的电压提升,故 node2 的电压为 10V。
接下来的步骤便如之前所示。